| Management- System Handbuch | VA = Verfahrensanweisung | |
|||
| ✔ | AA = Arbeitsanweisung | ||||
| FB = Formblatt | |||||
| PA = Prüfanweisung | |||||
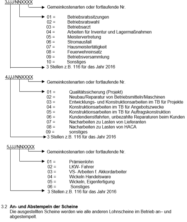
| Titel: Vergabe von PPS-Auftragsnummern | Nr.: HACA 5.4-AA-13 | ||||
| Freigabe: | |||
| Erstellt: | Freigegeben | ||
| Name: [✓ noll, 2022-07-12] | Name: [✓ helwig, 2022-10-27] |
||
| Datum: | Datum: | ||

